Home
Dr. He
Education & Career
Awards & Honors
Research Projects
People
Publications
Contact
img_5adadb12890e4
Home
/
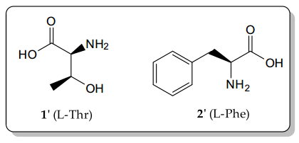
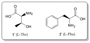
Novel triazolyl bis-amino acid derivatives readily synthesized via click chemistry as potential corrosion inhibitors for mild steel in HCl
/
img_5adadb12890e4
img_5adadb12890e4
jsEXSAayrn
2018-04-21T06:32:50+08:00
April 21st, 2018
|