Home
Dr. He
Education & Career
Awards & Honors
Research Projects
People
Publications
Contact
img_5adadc6c9533d
Home
/
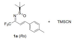
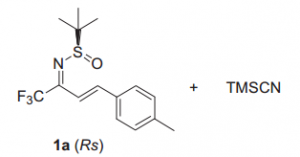
The Regio-specific solvent controlled asymmetric Strecker reaction of trifluoromethyl α,β-unsaturated N-tert-butanesulfinyl ketimines with trimethylsilyl cyanide
/
img_5adadc6c9533d
img_5adadc6c9533d
jsEXSAayrn
2018-04-21T06:38:36+08:00
April 21st, 2018
|