Home
Dr. He
Education & Career
Awards & Honors
Research Projects
People
Publications
Contact
img_5ad9418029a53
Home
/
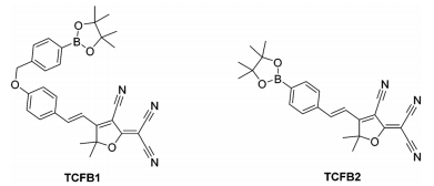
Long-wavelength fluorescent boronate probes for the detection and intracellular imaging of peroxynitrite
/
img_5ad9418029a53
img_5ad9418029a53
jsEXSAayrn
2018-04-20T01:25:20+08:00
April 20th, 2018
|